개요
어떤 지역에 사는 사슴 개체 수가 갑자기 증가하거나, 반대로 급격히 줄어드는 현상은 왜 일어날까요? 이는 단순히 번식이나 사망률 때문만은 아닙니다. 개체군 생태학(population ecology)은 생물 종의 개체군이 시간과 공간에 따라 어떻게 변화하는지를 연구하는 분야로, 생물학적·환경적 요인들이 개체군의 크기와 성장에 어떤 영향을 미치는지를 분석합니다.
이번 글에서는 개체군 생태학의 핵심 개념, 성장 곡선의 종류, 그리고 개체군 크기를 조절하는 다양한 요인들에 대해 체계적으로 살펴보겠습니다.
1. 개체군 생태학이란?
1-1. 개체군(Population)의 정의
개체군이란 같은 종의 생물들이 동일한 지역에 모여 살며, 상호 작용하고 번식하는 집단을 말합니다. 예를 들어, 한 숲속에 사는 모든 청설모 개체들이 하나의 개체군을 이룹니다.
1-2. 개체군 생태학의 주요 연구 내용
- 개체군의 성장률과 변동 패턴
- 개체군 크기에 영향을 주는 환경 요인
- 생존곡선(survivorship curve) 및 생식 전략
- 개체군 간 상호작용 (포식, 경쟁 등)

2. 개체군 성장: 지수 성장과 로지스틱 성장
2-1. 지수 성장(Exponential Growth)
지수 성장은 자원에 제한이 없을 때 개체군이 일정 비율로 빠르게 증가하는 형태입니다.

📌 초기 박테리아 배양이나 침입 외래종에서 흔히 볼 수 있습니다.
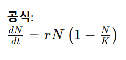
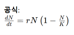
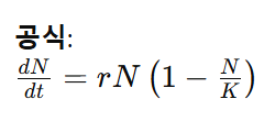
2-2. 로지스틱 성장(Logistic Growth)
실제 자연에서는 자원이 무한하지 않기 때문에, 개체군은 일정 시점에서 환경수용력(K)에 도달하여 성장이 둔화됩니다.

- K: 환경이 감당할 수 있는 최대 개체 수
- S자형 곡선으로 표현됨
| 성장 유형 | 특징 | 예시 |
| 지수 성장 | 무한한 자원, 초기 급격한 증가 | 실험실 세균 |
| 로지스틱 성장 | 자원 제한, K에 수렴 | 야생동물 개체군 |

3. 개체군 성장 규제 요인: 내부와 외부의 힘
개체군의 크기는 다양한 요인에 의해 제한되며, 이들은 크게 밀도 의존적 요인과 밀도 비의존적 요인으로 나뉩니다.
3-1. 밀도 의존적 요인(Density-dependent factors)
개체군 밀도가 증가할수록 영향력이 커지는 요인입니다.
| 요인 | 설명 |
| 먹이 부족 | 개체 수가 많아질수록 먹이 경쟁 심화 |
| 질병 전파 | 밀집된 개체군에서 빠르게 확산 |
| 스트레스와 사회적 갈등 | 과밀 상태에서 번식률 저하 |
| 포식 증가 | 밀도가 높을수록 포식자 유입 가능성 증가 |
이러한 요인들은 자기조절 메커니즘처럼 작동하여 개체군이 환경수용력을 초과하지 않도록 합니다.
3-2. 밀도 비의존적 요인(Density-independent factors)
개체군 밀도와 관계없이 작용하는 비예측적 외부 요인입니다.
| 요인 | 설명 |
| 기후 변화 | 폭염, 한파, 홍수 등 |
| 산불, 태풍 | 서식지 파괴와 개체 감소 초래 |
| 인위적 간섭 | 벌목, 오염, 농약 살포 등 |
비의존적 요인은 급격한 개체군 감소를 유발할 수 있으며, 성장 곡선에 급격한 변동을 일으킵니다.

4. 생존 전략과 개체군 성장
생물들은 자신이 처한 환경에 따라 서로 다른 생존 전략(r/K 전략)을 사용합니다.
| 전략 | 특징 | 예시 |
| r-전략 | 많은 자손, 낮은 생존율, 빠른 번식 | 곤충, 잡초 |
| K-전략 | 적은 자손, 높은 생존율, 장기 양육 | 코끼리, 인간 |
📌 이는 개체군 성장 속도와 안정성에 큰 영향을 줍니다.
5. 사고를 자극하는 문제
🧠 문제
한 늪지대에 사는 개구리 개체군이 처음에는 급속히 증가하다가 일정 시점 이후 성장이 둔화되었다. 이 개체군 성장 패턴은 어떤 곡선에 해당하며, 성장이 둔화된 이유는 무엇일까?
✏️ 해답
- 해당 개체군은 로지스틱 성장 곡선을 따릅니다.
- 성장이 둔화된 이유는 먹이 제한, 서식지 포화, 질병 등과 같은 밀도 의존적 요인 때문입니다. 이로 인해 **환경수용력(K)**에 가까워지면서 성장률이 낮아졌습니다.
결론: 개체군은 스스로 균형을 찾아간다
개체군 생태학은 단순한 수적 변화가 아니라, 환경과의 상호작용, 생존 전략, 규제 메커니즘을 함께 고려해야 제대로 이해할 수 있습니다. 실제 자연에서는 밀도 의존적 조절, 예측 불가능한 환경 충격, 개체 간의 복잡한 상호작용이 조합되어 개체군의 성장과 감소를 이끕니다.
오늘날에는 이 지식을 야생동물 보전, 해충 관리, 지속 가능한 어획 전략 등에 응용하여 자연과 인간의 공존을 꾀하고 있습니다.
📚 참고문헌 및 권장 도서
- Begon, M., Townsend, C. R., & Harper, J. L. (2006). Ecology: From Individuals to Ecosystems. Wiley-Blackwell.
- Molles, M. C. (2019). Ecology: Concepts and Applications. McGraw-Hill.
- Gotelli, N. J. (2008). A Primer of Ecology. Sinauer Associates.
'일반 생물학' 카테고리의 다른 글
| 개체군 분석: Type I, II, III 생존 곡선과 r/K 전략 쉽게 정리 (1) | 2025.04.09 |
|---|---|
| 지구 생명의 거대한 네트워크, 생물권과 생물 간 관계 완벽 정리 (1) | 2025.04.08 |
| 생태학 쉽게 정리: 개체부터 지구까지, 생태학의 모든 연구 단위를 한눈에! (4) | 2025.04.07 |
| 진화가 일어나는 3가지 핵심 원리: 돌연변이·유전자 흐름·유전적 부동 쉽게 이해하기 (0) | 2025.04.07 |
| DNA가 말해주는 진화의 비밀: 우리는 어디서 왔을까? (1) | 2025.04.06 |